The Project Gutenberg EBook of The Ohio Journal of Science, Vol. XVI., No. 2 (December, 1915) by Various This eBook is for the use of anyone anywhere in the United States and most other parts of the world at no cost and with almost no restrictions whatsoever. You may copy it, give it away or re-use it under the terms of the Project Gutenberg License included with this eBook or online at www.gutenberg.org. If you are not located in the United States, you'll have to check the laws of the country where you are located before using this ebook. Title: The Ohio Journal of Science, Vol. XVI., No. 2 (December, 1915) Author: Various Editor: Various Release Date: December 15, 2017 [EBook #56181] Language: English Character set encoding: UTF-8 *** START OF THIS PROJECT GUTENBERG EBOOK THE OHIO JOURNAL OF SCIENCE *** Produced by Larry B. Harrison, Paul Marshall and the Online Distributed Proofreading Team at http://www.pgdp.net
(Continuation of The Ohio Naturalist)
Official Organ of the
Ohio State University Scientific Society
and of the
Ohio Academy of Science
COLUMBUS, OHIO
Annual Subscription Price, $2.00 Single Number, 30 Cents
Entered at the Post-Office at Columbus, Ohio, as Second-Class Matter.
The Ohio Journal of Science
PUBLISHED BY THE
Ohio State University Scientific Society
Issued Monthly during the Academic Year, from November to June (eight numbers).
Official Organ of the Ohio Academy of Science
Subscription Price: $2.00 per Year, payable in advance; to Foreign Countries, $2.50.
Single Copies, 30 Cents.
| Editor, | John H. Schaffner |
| Associate Editor, | James S. Hine |
| Associate Editor, | Frederick W. Ives |
EDITORIAL BOARD |
|
| J. F. Lyman | Agricultural Chemistry |
| F. W. Ives | Agricultural Engineering |
| A. G. McCall | Agronomy |
| F. L. Landacre | Anatomy |
| J. H. Schaffner | Botany |
| Carl B. Harrop | Ceramic Engineering |
| Jas. R. Withrow | Chemistry |
| F. H. Eno | Civil Engineering |
| Minna C. Denton | Home Economics |
| N. W. Scherer | Forestry |
| C. S. Prosser | Geology |
| V. H. Davis | Horticulture |
| W. A. Knight | Industrial Arts |
| C. J. West | Mathematics |
| Horace Judd | Mechanical Engineering |
| Jonathan Forman | Pathology |
| F. C. Blake | Physics |
| R. J. Seymour | Physiology (General) |
| Clayton McPeek | Physiology (Medical) |
| E. R. Hayhurst | Public Health & Sanitation |
| J. S. Hine | Zoology and Entomology |
The Ohio Journal of Science is owned and controlled by the Ohio State University Scientific Society. By a special arrangement with the Ohio Academy of Science, the Ohio Journal of Science is sent without additional expense to all members of the Academy who are not in arrears for annual dues.
The first fifteen volumes of the old Ohio Naturalist may be obtained at $1.00 per volume.
Remittances of all kinds should be made payable to the Business Manager, J. S. Hine.
Address The Ohio Journal of Science
Ohio State University, COLUMBUS
| Ohio Academy of Science Publications. | |
First and Second Annual Reports |
Price 30 cts. each |
| Third and Fourth Annual Reports | Price 25 cts. each |
| Fifth to Sixteenth Annual Reports | Price 20 cts. each |
| Seventeenth to Twenty-fourth Annual Report | Price 40 cts. each |
| SPECIAL PAPERS. | ||
| 1. | Sandusky Flora. pp. 167. E. L. Moseley | 60 cts. |
| 2. | The Odonata of Ohio. pp. 110. David S. Kellicott | 60 cts. |
| 3. | The Preglacial Drainage of Ohio. pp. 76. W. G. Tight, | |
| J. A. Bownocker, J. H. Todd and Gerard Fowke | 50 cts. | |
| 4. | The Fishes of Ohio. pp. 105. Raymond C. Osburn | 60 cts. |
| 5. | Tabanidæ of Ohio. pp. 63. James S. Hine | 50 cts. |
| 6. | The Birds of Ohio. pp. 241. Lynds Jones | 75 cts. |
| 7. | Ecological Study of Big Spring Prairie. pp. 96. Thomas A. Bonser | 50 cts. |
| 8. | The Coccidæ of Ohio, i. pp. 66. James G. Sanders | 50 cts. |
| 9. | Batrachians and Reptiles of Ohio. pp. 54. Max Morse | 50 cts. |
| 10. | Ecological Study of Brush Lake. pp. 20. J. H. Schaffner, | |
| Otto E. Jennings, Fred J. Tyler | 35 cts. | |
| 11. | The Willows of Ohio. pp. 60. Robert F. Griggs | 50 cts. |
| 12. | Land and Fresh-water Mollusca of Ohio. pp. 35. V. Sterki | 50 cts. |
| 13. | The Protozoa of Sandusky Bay and Vicinity. F. L. Landacre | 60 cts. |
| 14. | Discomycetes in the Vicinity of Oxford, Ohio. pp. 54. | |
| Freda M. Bachman | 50 cts. | |
| 15. | Trees of Ohio and Surrounding Territory. pp. 122. John H. Schaffner | 75 cts. |
| 16. | The Pteridophytes of Ohio. pp. 41. John H. Schaffner | 50 cts. |
| 17. | Fauna of the Maxville Limestone. pp. 65. W. C. Morse | 60 cts. |
| 18. | The Agaricaceæ of Ohio. pp. 116. W. G. Stover | 75 cts. |
| 19. | An Ecological Study of Buckeye Lake. pp. 138. Frederica Detmers | 75 cts. |
Address: C. W. REEDER, Librarian, Ohio Academy of Science. |
||
| Library, Ohio State University, Columbus, Ohio. | ||
THE
Ohio Journal of Science
PUBLISHED BY THE
Ohio State University Scientific Society
Volume XVI DECEMBER, 1915 No. 2
| TABLE OF CONTENTS | |
Wells—A Survey of the Zoocecidia on Species of Hicoria |
|
| Caused by Parasites Belonging to the Eriophyidæ | |
| and the Itonididæ (Cecidomyiidæ) | 37 |
| West—The Geometry of the Translated Normal Curve | 60 |
| Gibson and Cogan—A Preliminary List of the Jassoidea | |
| of Missouri, with Notes on Species | 71 |
| News and Notes | 79 |
Bertram W. Wells.
This paper is primarily an attempt to present adequate descriptions of the types of 30 itonid (cecidomyid) and 2 eriophyid (mite) galls, collected by the writer on hickory leaves. It is believed to contain sufficient new material to warrant its publication in advance of a general survey of N. E. United States zoocecidia, of which it will form a part. The data is based on collections made in Connecticut, Ohio and Kansas, most of the material however, being taken in Ohio.
In addition, those forms (few in number) previously described which have not been seen by the author, have been added, so as to give a character of completeness to the survey of the two groups of galls. [Pg 38]
There are three groups of zoocecidia occurring on hickory trees:
1. Galls formed by species of Eriophyes (Fam. Eriophyidæ of the Acarina or mites), or an allied genus. Only two are known.
2. Galls induced by species of Phylloxera (Aphididæ of the Hemiptera). Pergande[2] has presented an excellent survey of these insects accompanied by very satisfactory descriptions of the cecidia formed by them.
3. Galls caused by species of Caryomyia (Itonididæ of the Diptera). Possibly other genera may be represented on the hickories, but according to Felt[3] “most of the hickory leaf galls are probably made by species of Caryomyia, though other midges have been reared from these deformities.”
The genus Caryomyia, which undoubtedly occupies an important place in relation to the majority of the galls described in the present paper, will be given special consideration. Felt, to whom American cecidology is heavily indebted for his extensive studies of dipterous cecidozoons, presents the following description of the genus Caryomyia in the same citation as that immediately above.
“Allied to Hormomyia, but differing by the thorax not being greatly produced over the head and by the presence of but 14 antennal segments. The males may have the flagellate antennal segments binodose or cylindric and subsessile and invariably with three low, stout circumfili. The antennal segments of the female are cylindric and with two circumfili; palpi tri- or quadri-articulate; wings rather broad, the third vein joining the costa at or near the wing apex; claws simple, the pulvilli well developed. The ovipositor of the female is short and with minute lobes apically. The genus appears to be confined to hickory leaf galls.”
Adult insects not technically known are given the old generic name “Cecidomyia.”
These galls as well as similar ones on other kinds of plants arise as the result of some stimulus (the nature of which is still not definitely known) applied by the very young larva to the growing tissue of the [Pg 39] immature leaf. Nothing has yet been done on the development of the itonid galls of the hickories, but from studies on very similar types we have reason to believe that the ontogeny of the itonid forms is as follows: The egg is probably deposited superficially (for the ovipositor of the female Caryomyia is short) on the under side of the leaflet; on the upper side in a few cases.
Hyperplasia or excessive cell proliferation results (probably not until after the larva has emerged from the egg) forming at first a saucer-shaped structure, then cup-shaped and finally by the ingrowth of the edges, the gall becomes a closed structure enveloping the larva in a chamber. The distal growth, seldom if ever in the hickory forms, proceeds so far as to obliterate the opening which was so prominent in the very immature cup-shape stage. Hence in practically all galls of this type a minute canal or pore can be demonstrated at the distal end. In Küster’s[4] very serviceable classification of abnormal plant parts, these fall under his “umwallungen” cecidia, a term very succinctly describing their mode of development.
Two of the following described galls have been studied histologically by Cook,[5] Caryomyia holotricha O. S. and C. tubicola O. S.
Concerning the problem of the distribution of the galls on the different species of hickory, it is still too early to be able to make any positive assertions. In most of the reports the species of tree has not been given. It is very well known that certain species of galls are found on 2 and 3 species of hickory, but whether they are developed on all indiscriminately is not known. H. cordiformis seems to bear much fewer species than H. ovata or H. alba. In the present list, the report of the gall upon a particular species of tree does not at all imply that it does not occur on others.
Having had the opportunity to give attention to gall collecting in three rather widely separate localities, eastern Connecticut, southern and northern Ohio and eastern Kansas, some observations on the geographical distributions of the hickory itonids are here briefly presented. [Pg 40]
It is sometimes stated that the distribution of gall insects is similar to that of their host plants. In certain cases this does not seem to be true. In that of my number 32 first found and described by Sears, no report of this large and striking form has appeared, showing it to occur east of the Allegheny mountain system, a region in which H. ovata is abundant. In the cases of my numbers 5, 9, 19 and 31, all heretofore unreported and possessing prominent distinguishing characters, it would seem as though they were somewhat restricted in their distribution, for while comparatively common in Ohio, they are never seen in Connecticut or Kansas, where equally intensive collecting was prosecuted. So few are the students of cecidia and so meager the data in this field, that it is, however, much too early to make positive assertions in matters of geographic distribution.
The data on the galls presented herewith was compiled for the most part at the time of collection; the notes and drawings made from fresh material. For later comparative work, the material was all preserved in formalin, each collection being assigned to a vial.
The writer has refrained from attaching a specific name to his new species of cecidia, a practice very common on the part of European cecidologists. Even though the adult gall has no direct relation to the adult insect, the fact, nevertheless, remains that the specificity of the gall owes its origin to the specificity of the physiological phenomena of the larval insect, and it is this, which in the mind of the writer, gives pre-eminence to the insect. The adult gall and the adult insect can be conceived as arising from the same complex, the larva, the adult insect bearing, however, a more intimate and direct relation to the original source of events than the gall. In many cases the adult insects offer characters, making possible the delimitation of species, with greater exactness, than do the galls. For these reasons new names of cecidia should only appear with adequate descriptions of the cecidozoons.
Though the galls almost uniformly occur on the under side of the leaflet, the drawings have presented them in an inverted position, with the gall uppermost, this being the position in which the galls would be examined. In practically all cases there are two sketches of the type, one showing the exterior aspect of the gall, the other the interior as seen in a vertical, median section. The figure number is in all cases the same as the list number. [Pg 41]
The writer wishes to express his appreciation of the hospitality of his friend, J. L. King, who, as assistant entomologist for the Ohio Experiment Station, shared his field laboratory during some of the time in which cecidological collecting was being carried on.
Though the writer has seen (with a few exceptions) the types herewith detailed an amply sufficient number of times to establish them as types, he does not claim infallibility, for the key he has worked out to these types. It is hoped, however, that it, together with the descriptions and illustrations will enable the student of the hickory galls to become better acquainted with the members of the two groups treated.
Britton and Brown’s Illustrated Flora Northern U. S. and Canada, (2nd edition), New York, 1913, has been followed in the matter of plant nomenclature.
The following two galls whose makers have been named by Felt have probably not been seen by the writer. Felt’s descriptions are given. They are not included in the key.
Caryomyia thompsoni Felt.
“Globose, thin-walled, long haired, melon-shaped, dia. 2-3 mm.”
See my number 23.
Caryomyia antennata Felt.
“Globose, thick-walled, yellowish green or brown. Dia. 4-5 mm.”
This description, as far as it goes, would indicate a similarity to C. persicoides Beut.
Felt, Jour. Econ. Ent. 4:456. 1911.
The itonid group of galls herewith presented can be distinguished with one exception (No. 33) from the very common Phylloxera galls (Aphididæ) by the fact that the latter forms which are sufficiently small to be comparable in size to the itonids are intercalated in the leaf blade, i. e. the gall extends more or less prominently from both sides of the leaf. The itonids always give the appearance of an appendicular structure attached to the leaf.
| 1. | Gall on nut. Caryomyia nucicola. (3) |
| 1. | Gall on leaf. 2. |
| 2. | An apparent elongate enlargement of vein. Cecidomyia cynipsea (?) (4). |
| 2. | An inrolled leaf edge. (2). |
| 2. | Galls arising from intervenal tissue between veins or immediately |
| adjoining veins; radially symmetric structures with principal | |
| [Pg 42] | axis more or less perpendicular to leaf blade. 3. |
| 3. | Galls double-chambered as seen in vertical median section. 4. |
| 3. | Galls single chambered. 7. |
| 4. | Galls definitely depressed. (5). |
| 4. | Galls small, sub-globular. (6). |
| 4. | Galls definitely conic. 5. |
| 5. | Elongate gall with rounded base in definite visible socket. (7). |
| 5. | Shorter gall attached by pedicel from rounded base not articulating |
| with definite socket. 6. | |
| 6. | Proximal chamber of gall, conic. (5). |
| 6. | Proximal chamber of gall, depressed. (8). |
| 7. | Galls definitely conic; forms having rounded bases, the distal portion |
| is sufficiently drawn out to place the cecidium under this class. 8. | |
| 7. | Galls spheric, sub-spheric or depressed. 15. |
| 7. | Galls sub-cylindric, 2½-3 times as long as wide. 22. |
| 7. | Galls obconic, i. e., part projecting from leaf is flat topped, |
| constricted proximally to the pedicel embedded in the leaf. 25. | |
| 7. | Blister gall, intercalated in the leaflet, projecting on both sides. |
| Cecidomyia? sp. (33). | |
| 8. | Small irregular, low, masses of tissue always in axils of principal |
| veins of leaflet. Eriophyes sp. (1). | |
| 8. | Galls definite structures projecting prominently from leaf surface. 9. |
| 9. | Conic gall generally with strongly recurved tip appearing as though |
| lying on side, decumbent. (9). | |
| 9. | Galls erect or tilted, seldom bent over, however, beyond angle of 45. 10. |
| 10. | Gall with flattened sides, pyramid-like. (10). |
| 10. | Galls with sides flattened. 11. |
| 11. | Proximal half of gall conic, never sub-globular. (11). |
| 11. | Proximal half sub-globular. 12. |
| 12. | Galls smooth. 13. |
| 12. | Galls pubescent. 14. |
| 13. | Galls large, 4-7 mm. long. (12). |
| 13. | Galls small, 1½-4 mm. long. (13). |
| 14. | Trichomes very long coarse. (14). |
| 14. | Pubescence short, fine. (15.) |
| 15. | Galls attached by proximal pedicel embedded in leaf, as seen in a |
| median vertical section. | |
| 15. | Galls attached by structure extending from leaf into base of gall, |
| which remains on leaf when gall falls. 20. | |
| 16. | Walls thick, soft. 17. |
| 16. | Walls thin, 18. |
| 17. | Galls smooth, depressed or with upward flaring walls forming a |
| saucer or cup-shaped structure distal to the chamber. (16). | |
| 17. | Gall globular, finely pubescent like that of a peach. (17). |
| 18. | Surface perfectly smooth, symmetrically sub-spherical galls. 19. |
| 18. | Surface minutely shagreen-roughened, gall asymmetric, one side |
| prominently extended laterally. (18). | |
| 19. | Small galls, 2½ mm. dia., nipple expanded and flattened resembling |
| the end of a bottle. (19). | |
| 19. | Larger gall, 3-4 mm. dia., nipple short, pointed. (20). |
| 20. | Thick-walled, particularly the distal end, covered with heavy |
| tawny pubescence. (21). | |
| 20. | Thinner walled, pubescence very short, puberulent. 21. |
| 20. | Very smooth. (22). |
| 21. | Depressed (not over 3 mm. high) with column extending through |
| center of chamber. (23). | |
| 21. | Globular, 4-5 mm. high. (24). |
| 21. | Definitely balloon-shape. (25). |
| 22. | Base embedded in socket. 23. |
| 22. | Base not embedded in socket. 24. |
| 23. | Round-conic at tip. Caryomyia tubicola. (26). |
| 23.[Pg 43] | Tapering to point, horn-like. (27). |
| 24. | Small gall, 2-2½ mm. high, with flaring base, attached by minute |
| pedicel at center. (28). | |
| 24. | Large gall, 5-6 mm. long, gradually constricted proximally to very |
| narrow neck at point of attachment. (29). | |
| 25. | Distal face with fovea containing a central nipple. Leaf not |
| projecting on side opposite gall. (30). | |
| 25. | Distal face with fovea, leading into central pore; no central nipple. |
| Prominent convexity of leaf on side opposite the gall. (31). | |
| 25. | Distal face flaring out at edge into radiate bracts; these |
| sometimes strongly incurved. (32). |
1. Eriophyes? sp. Cecidium nov.
Small galls in the axils of the lateral veins of the leaflets. Above marked by a light colored angular area 1-1½ mm. dia. Below a small mass of tissue (the gall proper) fills the angle, covered by a fine close pubescence. Chamber within of small diameter, irregular in shape. The characteristic mites were definitely observed. They are white in color. On some leaflets every angle made by the mid-vein branching into the lateral ones was occupied by a gall. On H. cordiformis, in Athens County, Ohio, August.
Type specimens at Ohio State University.
2. Eriophyes? sp.
Leaf edge gall; edge inrolled involving little more than the teeth. Variable in length from .5-2 cm. or longer, 1 mm.-2 mm. thick. Outer surface of affected area finely roughened; color of under side of the leaf. Thompson states that mites live within the fold. His report is the first one on this gall. Species of hickory on which specimens were found not determined.
Thompson, Illus. Cat. Am. Ins. Galls. 1915. p. 57, pl. 10, Fig. 260.
3. Caryomyia nucicola, O. S.
“Irregular swelling in the husk produced by the reddish larvæ. Reference to Caryomyia provisional.” Felt. “Contain thick walled cells. On Carya (Hicoria) alba.” Jarvis.
4. Cecidomyia cynipsea O. S.
“Rounded, irregular, hard swelling on the under side of the hickory [Pg 44] leaf, on the mid-rib near the base of the leaf about half an inch long. In July, pale yellowish and contained in several small hollows, minute whitish larvæ, with breast bone narrowed anteriorly and ending in a point.” Osten Sacken.
This form is so different from the other itonid galls of the hickory that the writer is inclined to place it here tentatively. It is very similar to Phylloxera caryævenæ Fitch, with the exception that the hyperplasia extends below the leaf, while in the phylloxera gall it is developed on the upper side. The writer has observed orange colored larvæ in the aphid galls, but they were not definitely determined to be itonid.
Since this type of gall has not since been reported as definitely caused by itonid larvæ, it is barely possible that Osten Sacken described the empty phylloxera gall above mentioned containing inquilinous itonid larvæ. The writer found many of these galls deserted by the aphids in the middle of July and Pergande states that the aphid nymphs begin to leave the galls in July. At this time, these galls are a “pale yellow” color as described for the “cynipsea” gall. The writer’s observations were made in southern Ohio, while Osten Sacken’s were made in the vicinity of Washington, D. C.
Osten Sacken, Lowe’s Monogr. Dipt. N. Am. Pt. 1. p. 193. 1862.
5. Cecidomyia sp.
Leaf, under side, double chambered conic or depressed (Fig. 5a) gall. The latter condition is perhaps the more usual. In these forms, the conic tip is sunken in the central fovea, the gall only measuring from 1½-2 mm. vertical diameter. The conic forms are as though the tip was pulled out destroying the fovea. These often measure 5 mm. in height. The width of the galls varies from 3-5 mm. Very light green, or when older yellow to red, surface roughened with low tubercles as seen with lens. Inner chamber sub-conic with short mucronate tip. Walls of both chambers thin and smooth, outer wall slightly sticky. Base of gall flat, arising from a definite pedicel, resting in a cup-like depression, which is formed in a definite hyperplasia intercalated in the leaf. Above, this hyperplasia is evident as a raised circular area, 2½ mm. diameter, in the center of which is a minute light colored papilla.
Rather common on H. alba. Collected in Hocking and Athens counties, Ohio. [Pg 45]
This double-chambered gall cannot be Caryomyia inanis Felt, for it is neither “globose and small.” The author describes elsewhere a specimen which fits that description and is very probably produced by the cecidozoon just mentioned. Absolute certainty, it must be remembered, can only be obtained by checking the reared adult insects with the original descriptions.
Sears described this gall from Cedar Point, Ohio, under the name C. inanis.
Sears, Ohio Nat. 15:380, pl. 18, Fig. 18. 1914.
6. Caryomyia inanis Felt.
“Globose, thin-walled with a false chamber at the apex. Dia. 2-3 mm.” Felt.
In my material, the false chamber is large, occupying more than half of the gall. The gall is slightly balloon-shape, 2½ mm. high. Surface perfectly smooth. Collected, Hocking County, Ohio, on H. ovata.
Sears in his “Insect Galls of Cedar Point (Ohio) and Vicinity,” described my number 5 under this species.
7. Cecidomyia sp. Cecidium nov.
On leaf, under side, elongate-conic constricted somewhat at base so as to resemble a miniature lamp chimney. Arises from saucer-like base. 5 mm. in length. Smooth, greenish-yellow to brown. Two chambered, the larval chamber at the proximal end, sub-spherical with a dia. about ⅓ the length of the gall. The distal false chamber large, the walls becoming thin apically. The partition separating the chambers is firm with a minute perforation at its center. Surface of leaf opposite gall not raised.
Collected in Hocking County, Ohio, on H. glabra, July.
Type specimens unaccountably missing. The description is nevertheless presented inasmuch as both it and the drawing were made from fresh material in the field.
8. Cecidomyia sp. Cecidium nov.
On leaf, under side, a gall similar to 7, perhaps a variety of it, though its prominent and constant differences would indicate a distinct species. Conic with rounded base and truncate tip, 4-6 mm. high, 3-4 [Pg 46] mm. broad in widest part. The wall at the tip thin, splitting into a fimbriate condition. Attached by a minute central pedicel, no trace of a saucer-shaped structure developing around the base. Galls greenish to red and purple tinted. Uniformly being covered with sparsely distributed short hairs. Interiorly two chambered, the larval chamber proximal and occupying nearly one-half of the gall. Walls including the partition comparatively thin. Surface of leaf opposite gall slightly raised with reddish tint.
Collected in Athens County, Ohio, on H. alba, August.
Type specimens at Ohio State University.
9. Cecidomyia sp. Cecidium nov.
On leaf, under side, elongate conic, asymmetric, the axis lying horizontal or parallel with the leaf blade plane. The tip is invariably strongly recurved upward and backward. The side of the proximal part of the gall lying against the leaf is flattened and rests close against the leaf and vein; the galls always spring from the side of a vein. Size variable from 2 mm. in length to 4 mm. this measurement distally not being made to the tip but merely to that part of the recurved terminal portion, farthest from the base. The larger specimens measure 1½-2 mm. in width at the proximal end. Light green to nearly white, or sometimes roseate tinged. Very smooth. Walls thin distally thickening toward the basal end.
Not uncommon on H. alba in Hocking County, Ohio, July.
Type specimens at Ohio State University.
A gall, somewhat similar and probably a variety of the above was collected on H. glabra, (Fig. 9a.)
Cylindric-conic, sharply bent over against the leaf, attenuate distal part short, not recurved, 3½ mm. long. Smooth, white like ivory. Wall rather thick, hard. Base of gall in shallow saucer-like depression against the vein. Interiorly the distal end is choked with coarse trichomes.
10. Cecidomyia sp. Cecidium nov.
Leaf, under side, distal ⅔ of gall dome-shaped with 3-many triangular sides, the flaring base resting on the proximal, constricted or saucer-shaped ⅓; 2-3 mm. high, 3-4 mm. wide. Tip attenuate, not sharp pointed, however. Light green to yellowish green, the tip darker, reddish to black. Surface smooth under lens. Larval chamber spherical, [Pg 47] surrounded by sclerenchmya layer. This gall is very distinctive no other forms having the peculiar angular structure which it possesses. Not abundant.
Collected at Gypsum, Ohio, August, on H. microcarpa.
Type specimens at Ohio State University.
11. Cecidomyia sp. Cecidium nov.
On leaf, under side, rather large conic gall, whose distal ½-⅓ constitutes a very slender apical process. Through this passes the fine canal leading to the depressed, sub-globular chamber in the proximal part of the gall. The galls are either erect or more generally tilted to one side, always arising from one of the larger veins. 5-8 mm. long, 2½-3½ mm. wide at base. Outline of the flaring sessile base generally angular. Attenuate distal portion turning dark early. Light greenish yellow to brown when old. Smooth. Walls of chamber thick. A slender probable variety of this is figured in 11a, pl. I.
Collected in Hocking County, Ohio, on H. alba. July.
Type specimens at Ohio State University.
12. Caryomyia caryæcola O. S.
On leaf, under side, large galls with globular basal part extending into a point distally. Shape suggests that of a Prince Rupert’s drop. 4-7 mm. long. Surface very smooth, greenish to reddish tinged. Some show a definite blue color over the attenuate apical end. Walls of medium thickness, very firm. Somewhat similar to C. sanguinolenta O. S. but differs from that gall in its larger size and much more attenuate distal end. Common on different hickories.
13. Caryomyia sanguinolenta O. S.
On leaf, beneath, stoutly conical, varying in size from 1½ mm. to 4 mm. high. Tip erect or often bent to one side. Smooth, green to purplish-red and finally a brown when old. Attached to smaller veins by short pedicel, hidden from view, however, by the rounded base of the gall. Walls medium in thickness, possessing the rather soft texture of charcoal when dry; brown in color.
This form is often found in enormous numbers on certain trees, bringing about early disintegration of the affected leaves. The lower leaves are [Pg 48] more heavily infested due to the fact that the insects are apt to reach these first in their flight from the ground in the spring.
14. Cecidomyia sp. Cecidium nov.
Leaf, under side, distal half conic-attenuate from the bulbous or sub-globular proximal half. Covered with long, coarse trichomes, the longest being half the length of the gall. Trichomes brown. Tip of gall generally darker than rest. 3-4 mm. high, 2-3 mm. wide. Cavity sub-spherical somewhat depressed at right angles to axis of gall. Walls relatively thick, especially the proximal part. Apical canal evident in median longitudinal section. Gall attached by short and broad pillar of tissue extending from the leaf into the fleshy base.
Gypsum, Ohio, August, on H. ovata.
Type specimens at Ohio State University.
15. Cecidomyia sp. Cecidium nov.
On leaf, under side, small, conic galls, generally found in pairs closely appressed to each other but not confluent. Distal attenuate ⅓ rather sharply constricted from the sub-globular ⅔ of the gall and generally turned to one side. 2 mm. high, 1½-2 mm. broad at base. Yellowish in color, definitely and constantly pubescent. Interiorly the lining of the sub-globular larval chamber is deep blue-black in color. Walls of medium thickness. Comparatively large region of the base involved in the attachment of the gall.
Collected in Hocking County, Ohio, on H. alba, July.
Type specimens at Ohio State University.
16. Cecidomyia sp.
On leaf, under side, greatly depressed with central, prominent nipple, 3-5 mm. dia. 1½-2½ mm. thick (vertical dia.) not including nipple. Light green, smooth. Firm fleshy with central sub-spherical larval chamber whose wall is differentiated from the surrounding tissue. Apical canal through nipple evident. This gall first reported and illustrated by Thompson. [Pg 49]
Thompson, Illus. Cat. Am. Ins. Galls. 1915. p. 56, pl. 13, Fig. 228.
A most interesting variant of this form is illustrated in Fig. 16a. If it were not for the large number of intermediate forms found, this one would easily be considered distinct. The region of the chamber surrounded by thick walls has been much reduced, so that only a circular area about the upper part of the chamber has the thick wall projecting from it. This new condition results in the formation of a definite saucer-shaped structure on the distal end of the gall. In some specimens the structure was no longer saucer-shape, but by the ingrowth of the edges it was assuming a spherical form, developing a two-chambered gall. It is natural to suspect that this may have been the mode of origin of the four-double-chambered galls described elsewhere in this paper. That, however, is entirely problematic.
17. Caryomyia periscoides Beut.
On leaf, underside, generally large, sub-globular galls. Younger ones appear like older, both often being found on same leaflet, 4-7 mm. diameter. Galls covered with a fine short yellowish to reddish pubescence, suggesting the texture of peach “bloom.” Walls very thick, firm fleshy, surrounding the central spherical cavity, pierced, however, at the distal end by the fine apical canal. Closely sessile on leaf, generally at side of principal vein. Collected on H. alba, glabra and ovata.
From Felt’s short description, Caryomyia antennata Felt, must have been taken from a similar gall.
18. Cecidomyia sp.
On leaf, under side, sub-globular (almost uniformly asymmetric in that one side projects laterally so as to present a parabolic outline, rather than a semi-circular one). A short definite nipple terminates the gall. 2-4 mm. diameter. White or light yellow to red. Walls medium in thickness, of a soft, almost fleshy consistency. Exterior surface almost uniformly minutely shagreen-roughened when observed with lens. The constricted base of the gall rests in a shallow saucer-shaped structure. [Pg 50]
This gall was described from Connecticut in citation below on H. ovata. Rather common in Hocking County, Ohio, on H. microcarpa. July, August.
19. Cecidomyia sp. Cecidium nov.
On leaf, under side, small, smooth, spherical galls, with a peculiar tip shaped like the end of a bottle, arising abruptly from the globular gall, 2-2½ mm. diameter. The gall reminds one of a miniature bomb. Green to yellowish with dark spots over the distal half. Thin-walled. Attached by a minute obconic pedicel. The pupa in these galls is suspended in the upper part of the chamber by a thread passing from each end of the body to the walls of the chamber. The galls drop from the leaves in late July. Not common.
Collected in Hocking County, Ohio, July, on H. microcarpa.
Type specimens at Ohio State University.
20. Caryomyia caryæ O. S.
On leaf, under side, sub-spherical gall with more or less prominent apical nipple. 3-3½ mm. diameter, rarely 4 mm. Light green, turning brown, smooth. In many, very definite meridian-like striations can be observed marking the wall. Wall thin, very fragile and dry. Surface of chamber smooth as though polished. Attached by conic pedicel arising from fovea in base of gall. This pedicel with its pointed end attached to the leaf is surrounded by or rests in a cup-like structure. In this respect the gall differs markedly from No. 22, which it superficially very much resembles.
Fig. 20a is a large specimen showing the peculiar interlocking base exceptionally well developed.
Collected from H. alba and H. ovata, July and August.
Felt, Jour. Econ. Ent. 4:456. 1911.
21. Caryomyia holotricha O. S.
On leaf, under side, large tawny, long-haired galls, distributed singly (Fig. 21) or massed (Fig. 21a) on the leaflet. When massed they form a conspicuous brown, hairy structure, suggesting a huge caterpillar. The isolated galls are sub-globular to round-conic with or without a small [Pg 51] terminal nipple. 3-5 mm. vertical diameter, 3-5 mm. wide. Interiorly the chamber of the isolated form is depressed, this fact being associated with that of the thick distal wall. Gall chamber surrounded by definite sclerenchyma layer. Cortical tissue firm. Attached by irregular process from leaf extending into base of gall. In the massed forms, the galls are similar in structure, but are variously shaped, due to mutual pressure, (Fig. 21b). Compactly attached to the common central hyperplasia along the vein, which on the upper side of the leaf is a reddish irregular, low elevation. Some of these masses are as long as 5 cm., possessing a thickness of 10-15 mm.
Common on various hickories, particularly H. ovata.
A gall which may eventually prove to be a different species but which here is provisionally classed as a variety of C. holotricha, was found in numbers on the leaves of H. alba, though it is probably not restricted to this species of hickory. Instead of an apical nipple, it has an apical pit, which is choked with the characteristic brown pubescence of this type of gall. Internally a tuft of coarse brown trichomes extends inwardly from the distal side of the chamber. The chamber occupies the proximal one-half to two-thirds of the gall, the wall over it being uniformly very thick. This type of gall is constant, being collected repeatedly and examined minutely.
Based on Felt’s brief description, his Caryomyia thompsoni Felt was taken from this gall or one very similar to it.
Closely allied to the above variety is another form, with internal tuft of trichomes, in which the apical nipple is present. The layer of tissue lining the chamber appears very white, due probably to the character of the tissue beneath the superficial nutritive layer. In section the thin white chamber wall is very definitely delimited from the adjoining darker tissues. Many of these conic-sub-spheric galls were 6 mm. in width. Collected on H. glabra. Types of this and the above variety are at the Ohio State University.
22. Cecidomyia sp. Cecidium nov.
On leaf, under side, sub-globular with minute apical nipple. Tip of latter truncate with fine pore in center. 3 mm. high, 2½-3 mm. wide. [Pg 52] Generally wider through one axis. Smooth; light greenish yellow. Interiorly a more or less prominent nipple projects inward from the distal end of the chamber, traversed by the apical pore. Toward maturity the interior wall is reddened. Gall attached by a short, cylindric pillar, extending from the leaf into the base of the globular structure. At the end of summer the galls fall from the leaf, leaving this pedicel on the leaf. Galls when found are apt to occur in large numbers, as many as 50-60 commonly being found on a single leaflet.
Collected in Hocking County, Ohio, on H. microcarpa, July.
Type specimens at Ohio State University.
23. Cecidomyia sp. Cecidium nov. (?)
Leaf, under side, depressed (door-knob-shape) closely sessile on leaf attached by a very short stout pedicel. 3-4 mm. wide, 2-2½ mm. high. Greenish to dull brown, covered with short, thin pubescence or smooth. Interiorally from both the proximal and distal sides, truncated, conic processes extend inward, meeting in the center. From the end of the upper one numerous, very coarse trichomes radiate into the gall chamber, which are white at first, turning brown. The central tissue and the walls are of a firm, fleshy character. There is commonly a more or less definite fovea, exteriorly at the distal end.
Collected in southern (Hocking County) and northern (Lake County) Ohio on H. ovata.
Thompson briefly describes and illustrates a gall similar to the above which Felt as editor called Caryomia thomsoni. The illustration, however, shows the gall not be to Felt’s C. thompsoni as he has described it, viz., “Globose, with long, erect, reddish, fuscous hairs.”
24. Cecidomyia sp. Caryomyia similis Felt (?)
On leaf, under side, large, globular, 4-5 mm. dia. Light yellow-green to brown, surface puberulent. A minute nipple terminates the gall. Walls thin. Attached by a short pillar, over which the basal part of the sphere fits like a cap. Surface of leaf not noticeably raised on side opposite the gall.
Collected on H. microcarpa in Ohio and H. glabra in Connecticut. [Pg 53]
This gall is very close if not identical with Caryomyia similis Felt. It differs from his description in that it is not “depressed.”
25. Cecidomyia sp.
On leaf, generally on upper side, balloon-shaped gall, 3-5 mm. high, 3-4 mm. wide. Terminal nipple arising from slight apical depression. Greenish-brown or sometimes varying toward a very dark purplish tinge, its peculiar color being very constant and characteristic. The surface is dotted over with short, swollen glandular hairs. Trichomes sometimes projecting slightly from apical pore. Walls very thin. Galls attached to short, stout process of the leaf, to be seen only in median, vertical section. Surface of leaf on side opposite the gall not raised. Never numerous on leaflet. Closely related, if not identical, with C. caryae O. S. See No. 20.
Observed on H. glabra, in Hocking County, Ohio, July.
26. Caryomyia tubicola O. S.
On leaf, under side, cylindrical with rounded distal end standing erect from the cup-like base embedded in the leaf blade. 4-6 mm. high, generally very close to 5 mm. 1 mm. dia. Body of gall, yellow to brown in color, distal end reddish to brown, at length almost black. Basal cup, greenish yellow to dark purple. Cylindrical part of gall smooth as though polished. Gall attached to the cup only at its central basal part. Before the end of summer the tube-like portion breaks away with its enclosed larva. On the side of the leaf opposite the gall its position is indicated merely by a dark discoloration. Very common on different kinds of hickories.
27. Cecidomyia sp. Cecidium nov.
Leaf, under side, arising from a shallow cup-like structure. Shape of a slender horn, slightly curved, 5-7 mm. long, 1¼ mm. wide at base. Light green at base, changing to yellow, the distal ⅔ of the gall a deep brown. No demonstrable opening at the end. Walls thin. Surface smooth, under lens minute longitudinal striations evident. Very little [Pg 54] discoloration on the upper side of the leaf to mark the location of the gall beneath. Resembles Caryomyia tubicola O. S. but is certainly a different species.
Collected in Hocking County, Ohio, July, on H. alba.
Type specimens at Ohio State University.
28. Cecidomyia sp. Cecidium nov.
On leaf, generally upper side, delicate, small, sub-cylindric galls, standing erect, 2-2½ mm. high, less than 1 mm. wide, constricted proximally to the slightly flaring base. Distal end marked off by a circular ridge, in the center of which is a rounded nipple. This latter turns dark early. Gall light green, at length turning brown. Arises from intervenal areas between the smaller veins. On the under side of the leaf the gall above is indicated by a minute dark area. Attached to leaf by minute central pedicel.
Collected in Hocking County, Ohio, on H. alba in July.
Type specimens at Ohio State University.
29. Cecidozoon (Type undetermined.) Cecidium nov.
On leaf, under side, rather large, pouch-like gall (5-6 mm. long) arising from a principal vein. Shaped like a stout gourd, it is bent over nearly recumbent against the blade of the leaf. 2-2½ mm. wide. The proximal end is sharply constricted at the minute point of attachment. The walls when collected were light brown in color, sparsely covered with short white hairs. Walls very thin and when dry brittle. Interior surface smooth. Inconspicuous on the upper side of the leaf, except for the minute pore next the vein. Two specimens from the same leaflet.
This gall differs so markedly from all the other cecidomyidous galls of the hickories, that I am not certain just where to place it. They contained no occupants of any kind.
Collected in Hocking County, Ohio, on H. glabra, July.
Type specimens at Ohio State University.
30. Cecidomyia sp. Cecidium nov.
On leaf, under side, obconic gall resting in firm collar-like base. Somewhat similar to 31, but differs in definite constant characters to make it distinct. Proximal end not rounded but definitely conic, distal [Pg 55] broad end with prominent fovea in the center of which arises a well defined nipple. Dia. across top, 2½ mm., height from leaf surface, 2 mm. Greenish to reddish brown, smooth. No prominence or convexity of leaf surface opposite the gall, a slight discoloration only marking the position of the cecidium.
Collected in Hocking County, Ohio, on H. microcarpa, July.
Type specimens at Ohio State University.
31. Cecidomyia sp. Cecidium nov.
On leaf, under side, small, obconic galls which in development appear to burst through the epidermis, for gall is surrounded by the ragged collar-like remnant. The rounded proximal end strongly sunken in the leaf blade which is prominently convex on the opposite side. Distal end truncate with funnel-like depression leading to the rather large apical pore. This latter connects the depressed chamber within with the exterior. Distal broad end 1½ mm. wide. Gall projects from leaf surface 1-1½ mm. Smooth; light greenish-yellow in color. Walls very thick distally, very thin proximally where it is connected to the leaf at the central region. On the upper side of the leaf the low, hemispheric convexity is reddened, particularly toward the periphery. At first it was thought that this gall might be a juvenile form of H. tubicola, but later observations have shown it to grow no further in length. It is without doubt distinct and new.
32. Cecidomyia sp.
“Leaf-gall on under surface, having the form of a much depressed inverted cone, attached by its apex, and with the free base surrounded by a conspicuous fringe. 3-4 mm. high, 4-5 mm. in diameter. Green to light yellow-green. Huron, July 25. Quite rare and I believe hitherto unreported.” Sears.
The author has collected this interesting gall at Gypsum, Ohio, in August. Many of them measured 5 mm., not including the radiate, bract-like processes borne on the flaring rim of the gall. The galls bear an evanescent thin disk of tissue on the distal, central region, which is clear brown in color and bears erect scattered trichomes. The underlying surface of the gall or the outer convex part is perfectly smooth. The origin of the apical, brown disk is problematical; from the [Pg 56] material at hand it appeared as if the rim of the gall had developed by pushing out beneath the original apical tissue. After the disk falls, only a minute dark spot marks the apex of the gall. The surface of the under half of the gall, below the flaring, lacerate rim, is more or less pubescent.
Chamber comparatively large; walls thin.
This very striking gall has thus far only been collected by Mr. Sears and myself, both times in northern Ohio and occurring on H. ovata.
Some specimens, all occurring on the same leaf varied in that they were not so depressed (almost sub-hemispheric) and had the rim strongly inturned against the very convex distal half of the gall.
Sears, Ohio Nat. 15:380. 1914.
33. Cecidomyia? sp.
On leaf, blister-like, irregularly circular in outline, 2½-3½ mm. diameter, ½ mm. thick. Extends above and below about equally. Sometimes a slight central nipple is formed below. Greenish to brownish with discolored margin.
Collected in Vinton County, Ohio, on H. cordiformis.
Probably same as Felt’s “Leaf blister gall, irregular, dull greenish or black margined with small nipple. Diameter 3mm.”
This type of gall is so different from all the other cecidomyid forms that it is doubtful if it is a member of that group. It may possibly be an immature or small Phylloxera gall. The writer found white larvæ within his specimens, but was unable to determine them as cecidomyid larvæ. This gall is thus introduced here, provisionally.
Felt, Jour. Econ. Ent. 4:456. 1911.
| Plate I. | |
| Fig. 1. | Mite gall. Eriophyes? sp. × 1⅓. |
| Fig. 1a. | Mite gall. Eriophyes? sp. × 5. |
| Fig. 2. | Mite gall. Eriophyes? sp. × 3. |
| Fig. 5. | Cecidomyia sp. × 4. |
| Fig. 5a. | Cecidomyia sp. Variety. × 4. |
| Fig. 6. | Caryomyia inanis Felt. × 5. |
| Fig. 7. | Cecidomyia sp. New. × 5. |
| Fig. 8. | Cecidomyia sp. New. × 4. |
| Fig. 9. | Cecidomyia sp. New. × 5. |
| Fig. 9a. | Cecidomyia sp. New. Variety. × 5. |
| Fig. 10. | Cecidomyia sp. New. × 5. |
| Fig. 11. | Cecidomyia sp. New. × 1⅓. |
| Fig. 11a. | Cecidomyia sp. New. Variety? × 5. |
| Fig. 12. | Caryomyia caryaecola O. S. × 3. |
| Fig. 13. | Caryomyia sanguinolenta O. S. × 5. |
| Fig. 14. | Cecidomyia sp. New. × 5. |
| Fig. 15. | Cecidomyia sp. New. × 5. |
| Fig. 16. | Cecidomyia sp. × 5. |
Plate II. |
|
| Fig. 16a. | Cecidomyia sp. Variety, new. × 5. |
| Fig. 17. | Caryomyia persicoides. Beut. × 5. |
| Fig. 18. | Cecidomyia sp. × 4. |
| Fig. 19. | Cecidomyia sp. New. × 4. |
| Fig. 20. | Caryomyia caryae O. S. × 5. |
| Fig. 20a. | Caryomyia caryae. Large specimen. × 5. |
| Fig. 21. | Caryomyia holotricha O. S. Isolated specimen. × 5. |
| Fig. 21a. | Caryomyia holotricha O. S. Aggregate condition × ⅔. |
| Fig. 21b. | Caryomyia holotricha O. S. Bilocular unit of aggregate form. × 2. |
| Fig. 22. | Cecidomyia sp. New. × 5. |
| Fig. 23. | Cecidomyia sp. Possibly new. × 5. |
| Fig. 24. | Caryomyia similis Felt (?) × 1. |
| Fig. 25. | Cecidomyia sp, Caryomyia caryae O. S. (?) × 5. |
| Fig. 26. | Caryomyia tubicola O. S. × 3. |
| Fig. 27. | Cecidomyia sp. New. × 3. |
| Fig. 28. | Cecidomyia sp. New. × 5. |
| Fig. 29. | Cecidozoon (undetermined). New. × 3. |
| Fig. 30. | Cecidomyia sp. New. × 7. |
| Fig. 31. | Cecidomyia sp. New. × 6. |
| Fig. 32. | Cecidomyia sp. × 5. |
| Fig. 33. | Cecidomyia ? sp. × 5. |
Footnotes:
[1] Contribution from the Botanical Laboratory of the Ohio State University, No. 92.
[2] Pergande, T. “North American Phylloxerinae affecting Hicoria and other Trees.” Proc. Davenport Acad. Sci. 9:185-271, pls. 1-21. 1903.
[3] Felt, E. P. “The Identity of the better known Midge Galls.” Ottawa Naturalist, Vol. 25, Nos. 11, 12. 1912.
[4] Küster, E. Die Gallen der Pflanzen, Leipzig. 1911.
[5] Cook, Mel T. “Galls and Insects Producing Them.” Ohio Nat. 4:140-141. 1904.
Carl J. West, Ph. D.
Introduction. In curve tracing the graphic representation is constructed from the equation. Due largely to the requirements of statistics the converse, namely, to find the equation of the curve when the distribution of points is given, has become of interest. This problem is very different from the exercises of analytical geometry in which a given law of distribution of points is to be translated into algebraic language. For the presence in the statistical data of accidental irregularities makes it undesirable as well as practically impossible to obtain a curve passing through the points. Instead, a curve is “fitted” to the points, that is, a curve is passed among the points in accordance with some generally accepted principal such as that of least squares or the agreement of moments.
Aside from the straight line and the parabolas, the curves proposed by Pearson[6] have found acceptance. In order to derive curves which can be fitted to widely varying distributions of points, Professor F. Y. Edgeworth[7] has proposed to modify, to translate, the normal probability curve with unit standard deviation.
In this article we shall discuss the geometry of the curves which Edgeworth obtains by this transformation and derive a method for an approximate solution of the two equations, one of the fourth and the other of the sixth degree, which arise in the fitting of a curve of this class.
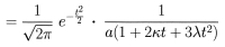
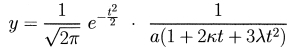
In order that the final curve may be written in terms of the co-ordinates x and y the equation of the base or generating normal probability curve is written:
where t denotes abscissas and z ordinates.
Let the abscissas of the transformed curve be functions of the corresponding abscissas of the base curve. Then it may be assumed that x can be developed in powers of t, and hence we may write on omitting fourth and higher powers,
x = a(t + κt2 + λt3),
where a, κ and λ are constants to be determined in “fitting” the curve.
Since x denotes the value of a measurement and y the frequency of x, that is, the number of individuals possessing that value of x, the magnitude of an element of area denotes the number of individuals between two values of x. Obviously, therefore, if the transformation is to be of concrete value the magnitude of an element of area must not be altered, though of course the shape will be changed. Hence
y dx = z dt,
and
y = z dt/dx
The formulas of transformation are thus:
x = a(t + κt2 + λt3),
Maximum and Minimum Points. Since only curves with one maximum point or mode are practically useful it is desirable to determine what values of the constants a, κ and λ give unimodal curves.
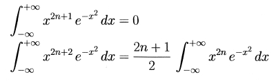
We have
From the vanishing of the numerator of dy/dx there must result either one or three real modes for each pair of values for λ and κ, that is, for each translated curve. To determine what values of λ and κ give uni-modal curves and what tri-modal it is convenient to consider the plane of λ and κ.
The discriminant of the equation
3λt3 + 2κt2 + (1 + 6λ)t + 2κ = 0
is
16κ4 - κ2(1 + 66λ + 117λ2) + 3λ(1 + 6λ)3 = 0
This fourth degree curve crosses the horizontal or λ-axis at λ = 0 and at λ = -⅙ and when λ = 0 its equation reduces to 16κ^4 - κ^2 = 0 or κ = ±0, κ = ±¼. There is thus contact with the vertical or κ-axis at the origin and that axis is crossed at the points (0, ±¼). At the point (λ = -⅙, κ = 0) there is a cusp with the λ-axis for tangent. The other two intersections with the line λ = -⅙ are imaginary, indicating the presence of two branches to the curve.
The discriminant of the denominator of dy/dx is the parabola (in λ and κ),
κ2 - 3λ = 0
The evident close geometrical connection between the two discriminants suggests arranging the discriminant of the cubic curve in the following form:
(κ2 - 3λ) (16κ2 - 117λ2 - 18λ - 1) - 27λ3(1 - 24λ) = 0
From the equation in this, the well known uv + kws = 0 form, numerous elementary geometrical facts can be derived. The relations to the hyperbola, 16κ2 - 117λ2 - 18λ - 1 = 0, and to the parabola, κ2 - 3λ = 0, premit of the ready plotting of the curve with sufficient accuracy. The general shape of the curve is shown in Figure 1.
It is to be noted that one branch of the curve is within the parabola, almost coinciding with it, while the other crosses it at λ = 1/24. From the original form of this equation it appears that the two branches of this discriminant meet just inside the parabola in the end points with approximate co-ordinates (0.043, ±0.360). The geometry of the cusp and end-points on the discriminant curve is suggestive of interesting development in detail. [Pg 63]
Values of λ and κ for points on the discriminant give curves with two modes coinciding. All points on one side of the discriminant have three real and distinct modes, and all on the other have one real and two imaginary modes. To determine on which side the points giving three real modes lie we examine a point inside the discriminant. When κ = 0 the modal equation becomes
3λt3 + (1 + 6λ)t = 0.
Hence the roots are
t = 0 and
The quantity under the radical is positive for values of λ between 0 and-⅙. Therefore, all points within the discriminant curve yield tri-modal curves and all without uni-modal curves.
The infinite values of dy/dx arise from zero values of the quadratic, 1 + 2κt + 3λt2. The greatest possible number of modes for any one curve is therefore five, three from the cubic and two from the quadratic. Since for infinite values of dy/dx the corresponding ordinates are infinite, it is advisable to study the location of the infinite points of the curve, rather to the neglect of the idea of maximum values at such points. [Pg 64]
Infinite Ordinates. The infinite points on a curve are given by the values of t satisfying the equation
3λt2 + 2κt + 1 = 0.
Except under certain limited conditions to be determined later a curve with infinite ordinates can not be of great statistical value.
The parabola, κ2-3λ = 0, obtained by equating the discriminant of this quadratic to zero separates the points on the (λ, κ) plane which correspond to curves of no infinite points from those corresponding to curves of two infinite points.
Therefore, all pairs of values of λ and κ within the parabola, with the exception of the very narrow region also within the first discriminant curve, give uni-modal curves without infinite ordinates.
Types of Curves. Without entering into detailed proofs we will now investigate the general shape of the curves corresponding to values of λ and κ in each of the distinct regions of the plane of λ and κ. [Pg 65]
In the region beneath the parabola and to the right from the shaded area of Fig. I the curve is essentially of the shape shown in Fig. II. This type includes the most common skew curves and hence is of great importance in statistics.
As the point (λ, κ) moves from the λ-axis the crest rises until the parabola is reached when the infinite ordinates appear as two coincident lines, shown in Fig. III.
After the parabola is passed, the infinite ordinates separate and the curve apparently separates into three branches as in Fig. IV.
In crossing the κ-axis to the left one asymptote moves off to infinity giving a curve of the type shown in Fig. V.
Then the asymptote reappears giving a curve of the type shown in Fig. VI.
This general shape is preserved as the point moves toward the λ-axis and when the point reaches the discriminant curve the middle branch is flattened at the minimum point.
For points within the discriminant curve two minimum points appear and the central branch now shows a maximum with a minimum point on either side as in Fig. VII.
The Tri-modal Curves. The curves corresponding to values of (λ, κ) within the discriminant, because of the requirement that an element of area under the translated curve must always be equivalent to the corresponding element under the base or generating curve, can be of statistical value only under the following conditions.
The area between the two ordinates corresponding to t = ±3 is 0.99998 of the total area under the curve, so that when neither of the minimum points corresponds to points closer than three units to the origin of the base curve the curve may be practically valuable. A moment’s consideration will show that the abscissas of the two minimum points must be practically the same as that of the corresponding infinite ordinates. The roots of the quadratic
3λt2 + 2κt + 1 = 0
are numerically greater than 3 for all pairs of values of (λ, κ) lying above the line
27λ - 6κ + 1 = 0
As statistically promising within the discriminant of the cubic we then have the shaded area of the (λ, κ) plane. [Pg 66]
The Origin. The generating curve is the symmetrical normal probability curve with origin at its center. Since x = 0 when t = 0, the origin of the translated curve coincides with that of the base or generating curve. The translated curve may not be symmetrical so that the mean ordinate may not coincide with the modal ordinate. Because of the relation between corresponding areas the ordinate at the origin must continue to divide the area under the curve into equal parts, that is, the origin and median always coincide.
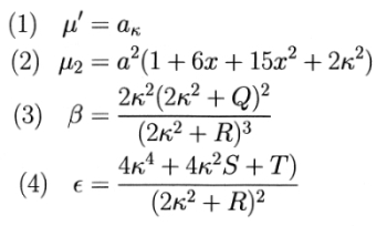
Determination of the Constants. Since the exact position of the median can not ordinarily be determined by inspection or direct computation there are in reality four constants to be determined: the distance between the median and the mean, a, κ and λ.
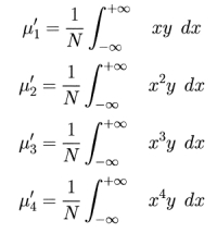
In determining the constants it is usual to compute the value of the first four moments. The third and fourth moments are extensions of the idea of the well known formulas for the first and second moments. Denoting the moments about the median by μ, we have
where N is the total area under the curve.
The values of the μ’s are computed from the data[8] and equated to the corresponding integrals which of course involve the four constants. In this way four equations are obtained from which the values of the constants may be determined. Since it is our present object to discuss the solution only of these equations, merely the principal results will be given. [Pg 67]
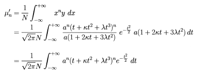
The general form for the moments about the median of the area under the translated curve is
On applying the two well known formulas:
the determination of μ1´, μ2´, μ3´ and μ4´ is reduced to a matter of algebraic detail. Then on transferring to the arithmetic mean as origin the values of μ2, μ3, and μ4 can be determined in terms of a, κ and λ. It is most convenient however, to make use of the quantities β1 = μ32 ⁄ μ23 and β2 = μ4 ⁄ μ22 or rather β = β1 ⁄ 8 and ϵ = (β2 - 3) ⁄ 12 and express the constants in terms of these quantities. It is to be noted that both ϵ and β are zero for a normal distribution, that is, for λ = κ = 0.
Omitting the detailed reduction[9] which is straightforward and direct, we have
Obviously no algebraic solution can be obtained from equations (3) and (4) for κ and λ in terms of the computed values β and ϵ, and hence a resort to tables is necessary. The values of β and ϵ for values of κ from 0 to 0.0335 and of λ from -0.040 to +0.100 have been computed.[10] The process of determining the constants of the translated normal curve consists first in computing β and ϵ from the given data, and then in entering the table and interpolating for the corresponding values of κ and λ.[11] On substituting these values in (2) the value of a can be found and thence on multiplying a by κ the position of the median of the distribution is obtained.
The sign of κ is determined by the sign of the third moment about the mean μ3, that is, by the direction of the skewness or asymmetry. For positive skewness the mean must lie to the right of the median and hence μ1´, the first moment about the mean, must be positive which necessitates a positive sign for κ. Therefore, the sign of κ is the same as that of the skewness.
To fit a curve to the given data, after the constants have been determined it is necessary to find, by solving a cubic equation for each value, the values of t corresponding to the x’s of the respective classes. The cubic is
aλt3 + aκt2 + at - x = 0.
Any of the various methods of approximating to the solution of a cubic may be used in solving these equations.
The area of each class can now be obtained by computing the corresponding areas under the standard normal curve from a table of the probability integral.
The Method of Interpolation. The actual fitting of the curve can now be readily accomplished.[12] The distinctively geometrical operation is the interpolation for the values of λ and κ for a given pair of values of β and ϵ.
Within the limits of the table[13] the curves resulting from the assignment of a constant value to β are practically [Pg 69] straight lines, β = 0 is the λ-axis; β = 1 is a line parallel to the λ-axis. Hence we may safely assume that the variation from one column to the next and from one line to the next is linear for values of β. That is, ordinary first difference interpolation methods are applicable.
As regards the system of ϵ curves we have for instance ϵ = .128 at (λ = .050, κ = 0); again, at approximately (.045, .060) and (.40, .085). We are therefore warranted in assuming the applicability of first difference methods to interpolation between the ϵ curves.
As an illustration let us find the values of λ and κ for ϵ = 0.112 and β = 0.044. On inspection of the table it is seen that λ lies between 0.30 and .035 and κ between .090 and .095. When κ = .090, λ = .033 for ϵ = .112. When κ = .095, λ = .031 for ϵ = .112. For β = .042 and κ = .090, λ = .033 and for β = .046 and κ = .095, λ = .031, ϵ = .112 in each case. Hence, to first differences, λ = .032 and κ = .093 for ϵ = .112 and β = .044. For interpolation in parts of the table showing more rapid variations appropriate methods will suggest themselves.
Taken geometrically the table represents two distinct systems of curves, with each curve of one system intersecting all the curves of the other system. Therefore, a pair of values for λ and κ can always be found for values of ϵ and β within the range of the table.
Department of Mathematics, Ohio State University.
TABLE OF ϵ AND β.
(ϵ is the first and β the second number of each pair.)
| λ | |||||||||
| κ | -040 | -035 | -030 | -025 | -020 | -015 | -010 | -005 | 000 |
| 000 | -061 | -056 | -050 | -043 | -035 | -027 | -019 | -010 | 000 |
| 000 | 000 | 000 | 000 | 000 | 000 | 000 | 000 | 000 | |
| 005 | -055 | -049 | -042 | -035 | -027 | -019 | -010 | 000 | |
| 000 | 000 | 000 | 000 | 000 | 000 | 000 | 000 | ||
| 010 | -055 | -049 | -042 | -035 | -027 | -018 | -010 | 000 | |
| 000 | 000 | 000 | 000 | 000 | 000 | 000 | 001 | ||
| 015 | -049 | -042 | -035 | -027 | -018 | -009 | 001 | ||
| 001 | 001 | 001 | 001 | 001 | 001 | 001 | |||
| 020 | -048 | -041 | -034 | -026 | -017 | -008 | 002 | ||
| 001 | 002 | 002 | 002 | 002 | 002 | 002 | |||
| 025 | -047 | -040 | -033 | -025 | -016 | -007 | 003 | ||
| 002 | 002 | 002 | 003 | 003 | 003 | 003 | |||
| 030 | -046 | -039 | -032 | -024 | -015 | -006 | 004 | ||
| 003 | 003 | 004 | 004 | 004 | 004 | 004 | |||
| 035 | -045 | -038 | -031 | -023 | -014 | -005 | 005 | ||
| 004 | 005 | 005 | 005 | 005 | 005 | 006 | |||
| 040 | -037 | -030 | -022 | -013 | -004 | 006 | |||
| 006 | 006 | 007 | 007 | 007 | 007 | ||||
| 045 | -036 | -028 | -020 | -011 | -002 | 008 | |||
| 008 | 008 | 008 | 009 | 009 | 009 | ||||
| 050 | -034 | -026 | -018 | -009 | -000 | 010 | |||
| 009 | 010 | 010 | 011 | 011 | 011 | ||||
| 055 | -032 | -024 | -016 | -007 | 002 | 012 | |||
| 011 | 012 | 012 | 013 | 013 | 013 | ||||
| 060 | -022 | -014 | -005 | 004 | 014 | ||||
| 014 | 015 | 015 | 016 | 016 | |||||
| 065 | -020 | -012 | -003 | 006 | 017 | ||||
| 016 | 017 | 018 | 018 | 019 | |||||
| 070 | -018 | -009 | 000 | 009 | 019 | ||||
| 019 | 020 | 020 | 021 | 022 | |||||
| 075 | -015 | -007 | 002 | 012 | 022 | ||||
| 022 | 023 | 023 | 024 | 025 | |||||
| 080 | -013 | -004 | 005 | 015 | 025 | ||||
| 025 | 026 | 026 | 027 | 028 | |||||
| 085 | -001 | 008 | 018 | 028 | |||||
| 029 | 030 | 031 | 032 | ||||||
| 090 | 002 | 011 | 021 | 032 | |||||
| 032 | 033 | 034 | 036 | ||||||
| 095 | 005 | 015 | 025 | 035 | |||||
| 036 | 037 | 038 | 039 | ||||||
| 100 | 009 | 018 | 028 | 039 | |||||
| 039 | 041 | 042 | 044 | ||||||
(ϵ is the first and β the second number of each pair.)
| λ | ||||||||||
| κ | 005 | 010 | 015 | 020 | 025 | 030 | 035 | 040 | 045 | 050 |
| 000 | 010 | 021 | 033 | 045 | 057 | 071 | 084 | 098 | 113 | 128 |
| 000 | 000 | 000 | 000 | 000 | 000 | 000 | 000 | 000 | 000 | |
| 005 | 010 | 021 | 033 | 045 | 057 | 071 | 084 | 098 | 113 | 128 |
| 000 | 000 | 000 | 000 | 000 | 000 | 000 | 000 | 000 | 000 | |
| 010 | 011 | 022 | 033 | 045 | 058 | 071 | 085 | 099 | 113 | 128 |
| 001 | 001 | 001 | 001 | 001 | 001 | 001 | 001 | 001 | 001 | |
| 015 | 011 | 022 | 034 | 046 | 058 | 071 | 085 | 099 | 114 | 129 |
| 001 | 001 | 001 | 001 | 001 | 001 | 001 | 001 | 001 | 001 | |
| 020 | 012 | 023 | 034 | 046 | 059 | 072 | 086 | 100 | 115 | 130 |
| 002 | 002 | 002 | 002 | 002 | 002 | 002 | 002 | 002 | 002 | |
| 025 | 013 | 024 | 035 | 047 | 060 | 073 | 087 | 101 | 116 | 131 |
| 003 | 003 | 003 | 003 | 003 | 003 | 003 | 003 | 003 | 003 | |
| 030 | 014 | 025 | 036 | 049 | 061 | 074 | 088 | 102 | 117 | 132 |
| 004 | 004 | 004 | 005 | 005 | 005 | 005 | 005 | 005 | 005 | |
| 035 | 015 | 026 | 038 | 050 | 063 | 076 | 089 | 104 | 118 | 133 |
| 006 | 006 | 006 | 006 | 006 | 006 | 007 | 007 | 007 | 007 | |
| 040 | 017 | 028 | 039 | 052 | 064 | 077 | 091 | 105 | 120 | 135 |
| 007 | 008 | 008 | 008 | 008 | 008 | 008 | 009 | 009 | 009 | |
| 045 | 019 | 030 | 041 | 053 | 066 | 079 | 093 | 107 | 122 | 137 |
| 009 | 010 | 010 | 010 | 010 | 011 | 011 | 011 | 011 | 011 | |
| 050 | 021 | 032 | 043 | 055 | 068 | 081 | 095 | 109 | 124 | 139 |
| 012 | 012 | 012 | 012 | 013 | 013 | 013 | 013 | 014 | 014 | |
| 055 | 023 | 034 | 045 | 057 | 070 | 083 | 097 | 111 | 126 | 141 |
| 014 | 014 | 015 | 015 | 015 | 016 | 016 | 016 | 016 | 017 | |
| 060 | 025 | 036 | 048 | 060 | 073 | 086 | 100 | 114 | 129 | 144 |
| 017 | 017 | 017 | 018 | 018 | 019 | 019 | 019 | 019 | 020 | |
| 065 | 028 | 039 | 050 | 062 | 075 | 089 | 102 | 116 | 131 | 146 |
| 019 | 020 | 020 | 021 | 021 | 022 | 022 | 022 | 023 | 023 | |
| 070 | 030 | 041 | 053 | 065 | 078 | 091 | 105 | 119 | 134 | 149 |
| 022 | 023 | 024 | 024 | 025 | 026 | 026 | 026 | 026 | 027 | |
| 075 | 033 | 044 | 056 | 068 | 081 | 094 | 108 | 122 | 137 | 152 |
| 026 | 026 | 027 | 028 | 028 | 029 | 029 | 030 | 030 | 031 | |
| 080 | 036 | 047 | 059 | 071 | 084 | 097 | 111 | 125 | 140 | 155 |
| 029 | 030 | 031 | 031 | 032 | 033 | 033 | 034 | 034 | 035 | |
| 085 | 039 | 050 | 062 | 075 | 088 | 101 | 115 | 129 | 144 | 159 |
| 033 | 034 | 034 | 035 | 036 | 037 | 037 | 038 | 039 | 039 | |
| 090 | 043 | 054 | 066 | 079 | 092 | 105 | 119 | 133 | 148 | 163 |
| 037 | 038 | 039 | 039 | 040 | 041 | 042 | 042 | 043 | 044 | |
| 095 | 046 | 058 | 070 | 083 | 096 | 109 | 123 | 137 | 152 | 167 |
| 041 | 042 | 043 | 044 | 045 | 046 | 046 | 047 | 048 | 049 | |
| 100 | 050 | 062 | 074 | 087 | 100 | 113 | 127 | 141 | 156 | 171 |
| 045 | 046 | 047 | 048 | 049 | 050 | 051 | 052 | 053 | 054 | |
Footnotes:
[6] Pearson, Karl:—“Skew Variation in Homogeneous Material;” Phil. Trans. 1895, Vol. CLXXXVI, A, pp. 253 et seq.
“On the Systematic Fitting of Curves to Observations and Measurements,” Biometrika, I, pp. 265 et seq. and Biometrika II, pp. 1 et seq.
Elderton:—“Frequency Curves and Correlation,” pp. 1-105; C. & E. Layton, 1906.
[7] Edgerton, F. Y.:—“On the Representation of Statistics by Means of Analytical Geometry,” Jour. Roy. Stat. Soc., 1914, Feb., Mar., May, June and July.
[8] Elderton, 1. c.
[9] Compare Edgeworth, “A Method of Representing Statistics by Analytical Geometry,” Proceedings Fifth International Congress of Mathematicians, Cambridge, 1912.
[10] Only a part of the original table appears in the accompanying table. The original values were computed to four places of decimals, but three place numbers are sufficient to illustrate the method of approximating to the solution.
[11] Compare “Tables for Statisticians and Biometricians,” Cambridge University Press, 1914.
[12] For the statistical details see Elderton, 1. c.
[13] As may be seen on examining the Table.
By Edmund H. Gibson and Eric S. Cogan, U. S. Bureau of Entomology.
The following preliminary list of the Jassoidae of Missouri is mainly the result of collections and notes made by the authors during the summer months of 1915. On account of the lack of records for this state the authors were prompted to undertake such a survey. As far as possible collections were made so as to embrace all conditions in different sections, giving some attention to ecological relations. The list comprises some 98 species.
Macropsis apicalis Osb. & Ball. A few specimens swept from weeds at Charleston, Mo., during the late summer.
Bythoscopus distinctus VanDuzee. Found in great numbers on willows in northern Missouri.
Pediopsis viridis Fitch. Not common. Taken from willows near drainage canals in southeast Missouri. Somewhat more numerous in northern part of the state.
Idiocerus nervatus VanDuzee. The only species taken from willows about Chillicothe.
Idiocerus verticis Say. Listed by VanDuzee as occurring in the state.
Idiocerus crataegi VanDuzee. Swept from grasses at Chillicothe.
Idiocerus snowi Gill & Baker. Recorded from Lutesville and Charleston. Feeding on millet and grasses. Nymphs numerous during August.
Agallia sanguinolenta Prov. Most plentiful in southern part of state. A decided pest of clover and alfalfa. Other food plants include wheat and several weeds. Adults abroad in fields all seasons of the year. Abundant in northern Arkansas.
Agallia constricta VanDuzee. One of the earliest jassids to appear in the spring. Most numerous on grains. Attacks wheat, [Pg 72] rye, oats, alfalfa and grass. Abundant in southern counties.
Agallia uhleri VanDuzee. Not very numerous. Occurring principally near swamps along the Mississippi River. Also collected from clover fields.
Agallia novella Say. Rather uncommon. Taken only in southern half of state. Adults collected from alfalfa and from weeds growing in marshes and bogs.
Agallia 4-punctata Prov. Clover and alfalfa are among its food plants. Most abundant in southern counties.
Agallia gillettei O. & B. Quite rare. A few adults taken at Charleston.
Oncometopia undata Fabr. Occurs throughout the state, but not abundant. Swept from grass, weeds and a number of shrubs.
Oncometopia costalis Fabr. Occasional specimens taken throughout southern part of state. Also recorded in the collection of the Experiment Station at Columbia.
Homalodisca coagulata Say. Occasional specimens taken from cotton and cowpeas. Not abundant.
Aulacizes irrorata Fabr. Recorded from the collection of the Experiment Station at Columbia.
Kolla bifida Say. Swept from weeds in marshy lands and from willows and several shrubs. Recorded only in Mississippi County.
Kolla geometrica Sign. Not common. Recorded from Springfield on grass.
Kolla tripunctata Fitch. Mentioned in VanDuzee’s Catalogue of Described Jassoidea of N. A. as occurring in Missouri.
Tettigoniella gothica Sign. Only one specimen taken. From grass at Lutesville, August 13.
Tettigoniella occatoria Say. Common in eastern part of state. Feeds on clover and weeds.
Tettigoniella hartii Wood. Quite numerous throughout the state during the late summer. Captured only from meadows and grass lands.
Tettigoniella hieroglyphica Say. Rather common in all parts of the state. Known to feed on clover and several weeds.
Tettigoniella hieroglyphica Say. var. hieroglyphica Say. One adult captured from grass at Rolla, September 21, by Mr. Geo. W. Barber.
Tettigoniella hieroglyphica Say. var. uhleri Ball. Rather common in eastern half of state. Taken from clover and weeds.
Tettigoniella hieroglyphica Say. var. confluens Uhler. Taken with the above variety.
Diedrocephala coccinea Forst. Very generally distributed. Common but not in great numbers. Injurious to many ornamental plants in the Missouri Botanical Gardens at St. Louis. Nymphal cast shins observed on leaves of Magnolia and American Holly. Adults taken from several kinds of trees near swamps along the Mississippi River.
Diedrocephala versuta Say. Very abundant in central and southern Missouri. Adults first observed in June. All stages abroad in fields from July to November. Injurious to cowpeas in Southeast Missouri. Food plants include alfalfa, clover, sunflower, grasses, and many weeds. Common on several ornamental plants and shrubs in the Missouri Botanical Gardens at St. Louis during September.
Draeculacephala reticulata Sign. Rather common at Charleston and Sikeston during July and August and September, on corn, alfalfa and grasses. Taken at Chillicothe, Sept. 6, Stanberry, Sept. 7. The last two records extend the distribution of this jassid to north of the Missouri River, a fact which is interesting in view of the distribution recorded by Prof. Osborn in Bull. 108. Bur. of Ent.
Draeculacephala angulifera Walker. Quite common on grass at Charleston.
Draeculacephala mollipes Say. Abundant throughout the state. All stages present from April to November. Of great economic importance. A decided pest to young grains and grasses. Known to feed on an innumerable list of plants and shrubs, field crops, and ornamentals. Adults migrate in large numbers. About the most common jassid in Missouri.
Draeculacephala noveboracensis Fitch. Taken on grass at Charleston.
Helochara communis Fitch. Swept from wheat on many warm, sunny days during the winter. In July collected from alfalfa. Recorded only from Mississippi County.
Gypona 8-lineata Say. Occurs throughout the state. Has special liking for shady and damp places. Appears to be essentially a grass feeder. [Pg 74]
Gypona flavilineata Fitch. Swept from grass lands at Chillicothe.
Gypona cana Burm. Taken with G. flavilineata.
Gypona pectoralis Spangb. Taken with G. flavilineata.
Xestocephalus pulicarius VanDuzee. One specimen of this form taken at an electric light at Charleston, July 28.
Xestocephalus tesselatus VanDuzee. Collected from elm leaves at Charleston. Quite rare.
Hecalus lineatus Uhler. Not common. Nymphs more numerous than adults during August. Swept from rank growing grasses near the Mississippi River at Hannibal.
Parabolocratus viridis Uhler. Recorded from Springfield, Columbia, Chillicothe, and Charleston. Observed feeding on grass, sweet clover and sorghum.
Platymetopius acutus Say. Only one adult collected. Swept from weeds near a bog at Charleston, July 28.
Platymetopius frontalis VanDuzee. Very common throughout the state. Attacks clover, alfalfa, and grasses. Also taken from woody shrubs.
Deltocephalus nigrifrons Forbes. Generally distributed in all sections of the state. Very abundant during October. Known to feed upon clover, alfalfa, wheat, many grasses including blue grass, and several weeds. Attracted to lights at night.
Deltocephalus weedi VanDuzee. Quite common on weeds along roadsides and shady places. Collected at Lutesville and Charleston during the late summer.
Deltocephalus flavicosta Stal. Quite abundant during middle and late summer, principally in southern part of state. Swept from native grasses and weeds. Occasional specimens taken from wheat.
Deltocephalus sayi Fitch. Recorded from grass lands in North western parts of state in September. Quite common in blue grass.
Deltocephalus inimicus Say. Common in all parts of the state. All stages taken from May to November. Food plants include wheat, oats, alfalfa, clover, cowpeas, timothy, blue grass, other native grasses, and weeds. [Pg 75]
Deltocephalus albidus Osb. & Ball. Recorded from the collection of the Experiment Station at Columbia.
Deltocephalus obtectus Osb. & Ball. Quite scarce. Recorded only from Mississippi County. Near swamps.
Deltocephalus misellus Ball. Captured but one adult, in a corn field near Mississippi River at West Quincy.
Deltocephalus productus Walker. Rather scarce. Swept from clover and weeds at Stanberry.
Deltocephalus debilis Uhler. Quite common on grasses in rye and wheat stubble fields about Hannibal and West Quincy.
Athysanus exitiosus Uhler. Occurs throughout the state. With the exception of Draeculacephala mollipes it is the most common jassid of northwestern Missouri. Adults present at all seasons of the year. Food plants include wheat, oats, corn, alfalfa, grasses, and weeds.
Athysanus bicolor VanDuzee. Numerous in southern part of state, especially in low or bottom lands. Feeds upon many weeds, grasses and alfalfa.
Athysanus obtutus VanDuzee. Not common. A few adults taken from sweeping wheat fields in the early spring. Recorded only from Mississippi County.
Athysanus plutonius Uhler. Rather rare. Occasional specimens swept from wheat in Scott and Mississippi Counties.
Athysanus curtisi Fitch. Only one adult captured sweeping weeds at Hannibal.
Eutettix clarivida VanDuzee. Recorded from Lutesville and Charleston, from millet and grasses. Nymphs numerous during August.
Eutettix osborni Ball. Collected by Geo. W. Barber at Poplar Bluff, from White Aster, used in ornamental plantings.
Eutettix seminuda Say. Rather numerous but not abundant. Occurring in all parts of the state. Collected principally from weeds and woody shrubs near swamps. Also from grape vines.
Eutettix strobi Fitch. Only one adult captured. Feeding on a leaf of a willow tree growing in a swamp.
Phlepsius apertus VanDuzee. Very common throughout the state, especially in the southeast section. Occurs in great numbers on alfalfa and clover upon which crops they must be considered a pest. Also recorded from grasses and weeds. Most abundant during July and August. [Pg 76]
Phlepsius irroratus Say. Very common and generally distributed throughout the state. Of economic importance, attacking alfalfa, clover, cowpeas, corn, wheat, oats, grape, many grasses, and weeds.
Phlepsius cinereus VanDuzee. Recorded only from Mississippi County. Most numerous in early summer. Often taken at lights.
Phlepsius pallidus VanDuzee. Collected at lights during summer months. Generally distributed but not abundant.
Phlepsius superbus Uhler. Not abundant. Occasional specimens captured in Mississippi County.
Scaphoideus sanctus Say. Occasional specimens taken in southern part of state.
Scaphoideus productus Osborn. One adult collected at Rodney, August 25.
Scaphoideus scalaris VanDuzee. Quite common. Recorded from Springfield and Hannibal. Taken only from weeds.
Scaphoideus jucundus Uhler. Occurs on rank weeds and willows. Only record is from Stanberry.
Scaphoideus immistus Say. Swept from woody shrubs and rank grasses about Charleston.
Scaphoideus immistus Say. var. minor Osborn. One adult taken at Charleston.
Thamnotettix clitellarius Say. An occasional adult taken in sweepings from grasses and weeds in southeast Missouri. Also taken from grape at Columbia.
Chlorotettix viridius VanDuzee. A few adults taken during the summer from grasses and weeds growing in low and swampy lands. Recorded from Pattonsburg and Charleston.
Chlorotettix unicolor Fitch. Rather common in central and northern parts of state. Collected from willows growing in lowlands.
Chlorotettix tergatus Fitch. One adult collected at Charleston, September 2.
Chlorotettix necopina VanDuzee. Only record is from Charleston where adults were swept from weeds growing in marshy places.
Chlorotettix galbanata VanDuzee. Quite rare. Occasional specimens taken from weeds growing along roadsides in Mississippi County. [Pg 77]
Jassus olitorius Say. Not common. A few adults taken in southeast Missouri. Observed them feeding upon alfalfa.
Balclutha punctatus Thunbg. Only record of occurrence is from Pattonsburg.
Gnathodus impictus VanDuzee. Not numerous. Observed feeding on grasses and several weeds at Charleston during May.
Cicadula 6-notata Fall. Occurs in all sections of the state, most abundant in northeast. Known to feed upon wheat, oats, and grasses. Especially numerous during October.
Empoasca mali LeB. One of the most common and probably the most injurious leafhopper. Feeds on a great variety of plants, shrubs and trees. A pest of field crops, nursery stock, and orchards. Especially abundant during the summer of 1915 on alfalfa and clover. In early spring adults have been observed feeding on wheat, rye and native grasses. Exhibits great adaptability to changes of climate and host plants.
Empoasca smaragdula Fall. Listed by Gillette as occurring in the state.
Empoasca radiata Gillette. Swept from willows growing in the Missouri Botanical Gardens at St. Louis.
Dicraneura abnormis Walsh. Not common. Few specimens collected from blue grass and around lights at night at Chillicothe, during September.
Typhlocyba illinoiensis Gillette. Noted feeding on rose leaves in the Missouri Botanical Gardens at St. Louis.
Typhlocyba obliqua Say. Very abundant on many weeds at Springfield during August.
Typhlocyba trifasciata Say. Listed by Gillette as occurring in the state.
Typhlocyba tricincta Fitch. Abundant on several ornamental bushes in Missouri Botanical Gardens at St. Louis. Adults exceedingly quick of movement. Also collected at Pattonsburg and Columbia.
Typhlocyba comes Say. Abundant throughout the state. A severe pest of grapes, especially in southeast Missouri. Feeds on a number of weeds. Attracted to lights at night in considerable numbers. [Pg 78]
Typhlocyba comes Say. var. vitis Harris. Occurring on ornamental shrubs, including rose, in the Missouri Botanical Gardens at St. Louis.
Typhlocyba comes Say. var. scutelleris Gillette. Very common on Sycamore in all stages, and frequently causing severe infestations. Nymphs and adults feed on under side of leaves resulting in small whitish brown spots. Occurs in all parts of Missouri.
Typhlocyba comes Say. var. basilaris Say. One adult captured by Geo. W. Barber at Poplar Bluff, September 4, from white aster.
Typhlocyba comes Say. var. ziczac Walsh. Collected from rose bushes in the Missouri Botanical Gardens at St. Louis.
Typhlocyba vulnerata Fitch. Rather numerous on several ornamental shrubs growing in the Missouri Botanical Gardens. Feeds on under side of leaves.
The Twenty-fifth Annual Meeting of the Ohio Academy of Science was held at the Ohio State University, at Columbus, on November 26th and 27th. A special program was given in commemoration of the Quarter Centennial Anniversary.
The American Association for the Advancement of Science will hold its Annual Meeting on the Ohio State University Campus, at Columbus, December 27th, 1915 to January 1st, 1916. A large attendance is expected and arrangements have been completed to make the meeting one of unusual interest.
At the November meeting of the Biological Club, the following officers were elected for the ensuing year: President, Dr. F. H. Krecker of the Department of Zoology and Entomology; Vice President, Miss Clara G. Mark, of the Department of Geology; Secretary and Treasurer, Mr. Rollo C. Baker, of the Department of Anatomy.
The following officers were named by the Ohio State University Scientific Society for the year: President, F. C. Blake, Department of Physics; Vice President, Jas. R. Withrow, Department of Chemistry; Secretary, R. J. Seymour, Department of Physiology; Treasurer, C. J. West, Department of Mathematics. These officers constitute an executive committee which will arrange programs for the regular meetings of the society, the first of which will occur during January.
An interesting event occurring during the recent meeting of the Ohio Academy of Science was the short talk given by Dr. T. C. Mendenhall to the New York and San Francisco alumni of the Ohio State University by means of the trans-continental telephone. Dr. Mendenhall, while a member of the University faculty, established the first telephone to be used in central Ohio, a line from his University office to his residence, and he expressed himself as greatly pleased at the opportunity accorded him to speak to his former students over a line extending across the continent.
The Ohio Academy of Science at its November meeting voted to change the date of its annual session to a time corresponding to the Easter recess. The exact time of the meeting is to be determined by the executive committee, the Academy voting to have the next meeting occur in the spring of 1916.
Established last Spring, the latest honorary society, Phi Sigma, a student organization open only to students having completed an amount of biological work equivalent to a minor, has awakened interest in the universities of other states. Inquiries concerning the possibility of establishing other chapters at distant institutions have been received by the parent chapter at Ohio State University and it is probable that such chapters will be formed during the present year. Phi Sigma hopes to publish a biological quarterly in the near future.
Dates of Publication:
November Number, Nov. 22, 1915.
December Number, Dec. 20, 1915.
The College Book Store
Reference books in all departments of Higher Education.
Biological Supplies and Advanced Text Books
new and secondhand.
OPPOSITE THE UNIVERSITY ENTRANCE.
COLUMBUS, OHIO.
The Bucher Engraving Co.,
COLUMBUS, OHIO
Scientific Illustrations given extremely
careful attention by highly skilled
artisans using the most modern equipment
DIE STAMPING. PLATE AND LETTER PRESS PRINTING.
SPAHR & GLENN,
PRINTERS and PUBLISHERS.
50 EAST BROAD STREET. COLUMBUS, OHIO.
The Ohio State University
COLUMBUS
WILLIAM OXLEY THOMPSON, President.
Ten Colleges and a Graduate School |
|
| College of Agriculture | |
| College of Arts, Philosophy and Science | |
| College of Education | |
| College of Engineering | |
| College of Homeopathic Medicine | |
| College of Law | |
| College of Medicine | |
| College of Dentistry | |
| College of Pharmacy | |
| College of Veterinary Medicine | |
| Graduate School | |
| Summer Session (Eight weeks) | |
For general information, catalogue, or special bulletin describing each college, with fees and announcement of courses.
Address:
L. E. WOLFE, Secretary Entrance Board,
THE OHIO STATE UNIVERSITY
Transcriber's Notes:
The cover image was created by the transcriber, and is in the public domain.
Uncertain or antiquated spellings or ancient words were not corrected.
The illustrations have been moved so that they do not break up paragraphs and so that they are next to the text they illustrate.
Typographical errors have been silently corrected but other variations in spelling and punctuation remain unaltered.
End of the Project Gutenberg EBook of The Ohio Journal of Science, Vol. XVI., No. 2
(December, 1915) by Various
*** END OF THIS PROJECT GUTENBERG EBOOK THE OHIO JOURNAL OF SCIENCE, Vol. XVI., No. 2
(December, 1915) ***
***** This file should be named 56181-h.htm or 56181-h.zip *****
This and all associated files of various formats will be found in:
http://www.gutenberg.org/5/6/1/8/56181/
Produced by Larry B. Harrison, Paul Marshall and the Online
Distributed Proofreading Team at http://www.pgdp.net
Updated editions will replace the previous one--the old editions will
be renamed.
Creating the works from print editions not protected by U.S. copyright
law means that no one owns a United States copyright in these works,
so the Foundation (and you!) can copy and distribute it in the United
States without permission and without paying copyright
royalties. Special rules, set forth in the General Terms of Use part
of this license, apply to copying and distributing Project
Gutenberg-tm electronic works to protect the PROJECT GUTENBERG-tm
concept and trademark. Project Gutenberg is a registered trademark,
and may not be used if you charge for the eBooks, unless you receive
specific permission. If you do not charge anything for copies of this
eBook, complying with the rules is very easy. You may use this eBook
for nearly any purpose such as creation of derivative works, reports,
performances and research. They may be modified and printed and given
away--you may do practically ANYTHING in the United States with eBooks
not protected by U.S. copyright law. Redistribution is subject to the
trademark license, especially commercial redistribution.
START: FULL LICENSE
THE FULL PROJECT GUTENBERG LICENSE
PLEASE READ THIS BEFORE YOU DISTRIBUTE OR USE THIS WORK
To protect the Project Gutenberg-tm mission of promoting the free
distribution of electronic works, by using or distributing this work
(or any other work associated in any way with the phrase "Project
Gutenberg"), you agree to comply with all the terms of the Full
Project Gutenberg-tm License available with this file or online at
www.gutenberg.org/license.
Section 1. General Terms of Use and Redistributing Project
Gutenberg-tm electronic works
1.A. By reading or using any part of this Project Gutenberg-tm
electronic work, you indicate that you have read, understand, agree to
and accept all the terms of this license and intellectual property
(trademark/copyright) agreement. If you do not agree to abide by all
the terms of this agreement, you must cease using and return or
destroy all copies of Project Gutenberg-tm electronic works in your
possession. If you paid a fee for obtaining a copy of or access to a
Project Gutenberg-tm electronic work and you do not agree to be bound
by the terms of this agreement, you may obtain a refund from the
person or entity to whom you paid the fee as set forth in paragraph
1.E.8.
1.B. "Project Gutenberg" is a registered trademark. It may only be
used on or associated in any way with an electronic work by people who
agree to be bound by the terms of this agreement. There are a few
things that you can do with most Project Gutenberg-tm electronic works
even without complying with the full terms of this agreement. See
paragraph 1.C below. There are a lot of things you can do with Project
Gutenberg-tm electronic works if you follow the terms of this
agreement and help preserve free future access to Project Gutenberg-tm
electronic works. See paragraph 1.E below.
1.C. The Project Gutenberg Literary Archive Foundation ("the
Foundation" or PGLAF), owns a compilation copyright in the collection
of Project Gutenberg-tm electronic works. Nearly all the individual
works in the collection are in the public domain in the United
States. If an individual work is unprotected by copyright law in the
United States and you are located in the United States, we do not
claim a right to prevent you from copying, distributing, performing,
displaying or creating derivative works based on the work as long as
all references to Project Gutenberg are removed. Of course, we hope
that you will support the Project Gutenberg-tm mission of promoting
free access to electronic works by freely sharing Project Gutenberg-tm
works in compliance with the terms of this agreement for keeping the
Project Gutenberg-tm name associated with the work. You can easily
comply with the terms of this agreement by keeping this work in the
same format with its attached full Project Gutenberg-tm License when
you share it without charge with others.
1.D. The copyright laws of the place where you are located also govern
what you can do with this work. Copyright laws in most countries are
in a constant state of change. If you are outside the United States,
check the laws of your country in addition to the terms of this
agreement before downloading, copying, displaying, performing,
distributing or creating derivative works based on this work or any
other Project Gutenberg-tm work. The Foundation makes no
representations concerning the copyright status of any work in any
country outside the United States.
1.E. Unless you have removed all references to Project Gutenberg:
1.E.1. The following sentence, with active links to, or other
immediate access to, the full Project Gutenberg-tm License must appear
prominently whenever any copy of a Project Gutenberg-tm work (any work
on which the phrase "Project Gutenberg" appears, or with which the
phrase "Project Gutenberg" is associated) is accessed, displayed,
performed, viewed, copied or distributed:
This eBook is for the use of anyone anywhere in the United States and
most other parts of the world at no cost and with almost no
restrictions whatsoever. You may copy it, give it away or re-use it
under the terms of the Project Gutenberg License included with this
eBook or online at www.gutenberg.org. If you are not located in the
United States, you'll have to check the laws of the country where you
are located before using this ebook.
1.E.2. If an individual Project Gutenberg-tm electronic work is
derived from texts not protected by U.S. copyright law (does not
contain a notice indicating that it is posted with permission of the
copyright holder), the work can be copied and distributed to anyone in
the United States without paying any fees or charges. If you are
redistributing or providing access to a work with the phrase "Project
Gutenberg" associated with or appearing on the work, you must comply
either with the requirements of paragraphs 1.E.1 through 1.E.7 or
obtain permission for the use of the work and the Project Gutenberg-tm
trademark as set forth in paragraphs 1.E.8 or 1.E.9.
1.E.3. If an individual Project Gutenberg-tm electronic work is posted
with the permission of the copyright holder, your use and distribution
must comply with both paragraphs 1.E.1 through 1.E.7 and any
additional terms imposed by the copyright holder. Additional terms
will be linked to the Project Gutenberg-tm License for all works
posted with the permission of the copyright holder found at the
beginning of this work.
1.E.4. Do not unlink or detach or remove the full Project Gutenberg-tm
License terms from this work, or any files containing a part of this
work or any other work associated with Project Gutenberg-tm.
1.E.5. Do not copy, display, perform, distribute or redistribute this
electronic work, or any part of this electronic work, without
prominently displaying the sentence set forth in paragraph 1.E.1 with
active links or immediate access to the full terms of the Project
Gutenberg-tm License.
1.E.6. You may convert to and distribute this work in any binary,
compressed, marked up, nonproprietary or proprietary form, including
any word processing or hypertext form. However, if you provide access
to or distribute copies of a Project Gutenberg-tm work in a format
other than "Plain Vanilla ASCII" or other format used in the official
version posted on the official Project Gutenberg-tm web site
(www.gutenberg.org), you must, at no additional cost, fee or expense
to the user, provide a copy, a means of exporting a copy, or a means
of obtaining a copy upon request, of the work in its original "Plain
Vanilla ASCII" or other form. Any alternate format must include the
full Project Gutenberg-tm License as specified in paragraph 1.E.1.
1.E.7. Do not charge a fee for access to, viewing, displaying,
performing, copying or distributing any Project Gutenberg-tm works
unless you comply with paragraph 1.E.8 or 1.E.9.
1.E.8. You may charge a reasonable fee for copies of or providing
access to or distributing Project Gutenberg-tm electronic works
provided that
* You pay a royalty fee of 20% of the gross profits you derive from
the use of Project Gutenberg-tm works calculated using the method
you already use to calculate your applicable taxes. The fee is owed
to the owner of the Project Gutenberg-tm trademark, but he has
agreed to donate royalties under this paragraph to the Project
Gutenberg Literary Archive Foundation. Royalty payments must be paid
within 60 days following each date on which you prepare (or are
legally required to prepare) your periodic tax returns. Royalty
payments should be clearly marked as such and sent to the Project
Gutenberg Literary Archive Foundation at the address specified in
Section 4, "Information about donations to the Project Gutenberg
Literary Archive Foundation."
* You provide a full refund of any money paid by a user who notifies
you in writing (or by e-mail) within 30 days of receipt that s/he
does not agree to the terms of the full Project Gutenberg-tm
License. You must require such a user to return or destroy all
copies of the works possessed in a physical medium and discontinue
all use of and all access to other copies of Project Gutenberg-tm
works.
* You provide, in accordance with paragraph 1.F.3, a full refund of
any money paid for a work or a replacement copy, if a defect in the
electronic work is discovered and reported to you within 90 days of
receipt of the work.
* You comply with all other terms of this agreement for free
distribution of Project Gutenberg-tm works.
1.E.9. If you wish to charge a fee or distribute a Project
Gutenberg-tm electronic work or group of works on different terms than
are set forth in this agreement, you must obtain permission in writing
from both the Project Gutenberg Literary Archive Foundation and The
Project Gutenberg Trademark LLC, the owner of the Project Gutenberg-tm
trademark. Contact the Foundation as set forth in Section 3 below.
1.F.
1.F.1. Project Gutenberg volunteers and employees expend considerable
effort to identify, do copyright research on, transcribe and proofread
works not protected by U.S. copyright law in creating the Project
Gutenberg-tm collection. Despite these efforts, Project Gutenberg-tm
electronic works, and the medium on which they may be stored, may
contain "Defects," such as, but not limited to, incomplete, inaccurate
or corrupt data, transcription errors, a copyright or other
intellectual property infringement, a defective or damaged disk or
other medium, a computer virus, or computer codes that damage or
cannot be read by your equipment.
1.F.2. LIMITED WARRANTY, DISCLAIMER OF DAMAGES - Except for the "Right
of Replacement or Refund" described in paragraph 1.F.3, the Project
Gutenberg Literary Archive Foundation, the owner of the Project
Gutenberg-tm trademark, and any other party distributing a Project
Gutenberg-tm electronic work under this agreement, disclaim all
liability to you for damages, costs and expenses, including legal
fees. YOU AGREE THAT YOU HAVE NO REMEDIES FOR NEGLIGENCE, STRICT
LIABILITY, BREACH OF WARRANTY OR BREACH OF CONTRACT EXCEPT THOSE
PROVIDED IN PARAGRAPH 1.F.3. YOU AGREE THAT THE FOUNDATION, THE
TRADEMARK OWNER, AND ANY DISTRIBUTOR UNDER THIS AGREEMENT WILL NOT BE
LIABLE TO YOU FOR ACTUAL, DIRECT, INDIRECT, CONSEQUENTIAL, PUNITIVE OR
INCIDENTAL DAMAGES EVEN IF YOU GIVE NOTICE OF THE POSSIBILITY OF SUCH
DAMAGE.
1.F.3. LIMITED RIGHT OF REPLACEMENT OR REFUND - If you discover a
defect in this electronic work within 90 days of receiving it, you can
receive a refund of the money (if any) you paid for it by sending a
written explanation to the person you received the work from. If you
received the work on a physical medium, you must return the medium
with your written explanation. The person or entity that provided you
with the defective work may elect to provide a replacement copy in
lieu of a refund. If you received the work electronically, the person
or entity providing it to you may choose to give you a second
opportunity to receive the work electronically in lieu of a refund. If
the second copy is also defective, you may demand a refund in writing
without further opportunities to fix the problem.
1.F.4. Except for the limited right of replacement or refund set forth
in paragraph 1.F.3, this work is provided to you 'AS-IS', WITH NO
OTHER WARRANTIES OF ANY KIND, EXPRESS OR IMPLIED, INCLUDING BUT NOT
LIMITED TO WARRANTIES OF MERCHANTABILITY OR FITNESS FOR ANY PURPOSE.
1.F.5. Some states do not allow disclaimers of certain implied
warranties or the exclusion or limitation of certain types of
damages. If any disclaimer or limitation set forth in this agreement
violates the law of the state applicable to this agreement, the
agreement shall be interpreted to make the maximum disclaimer or
limitation permitted by the applicable state law. The invalidity or
unenforceability of any provision of this agreement shall not void the
remaining provisions.
1.F.6. INDEMNITY - You agree to indemnify and hold the Foundation, the
trademark owner, any agent or employee of the Foundation, anyone
providing copies of Project Gutenberg-tm electronic works in
accordance with this agreement, and any volunteers associated with the
production, promotion and distribution of Project Gutenberg-tm
electronic works, harmless from all liability, costs and expenses,
including legal fees, that arise directly or indirectly from any of
the following which you do or cause to occur: (a) distribution of this
or any Project Gutenberg-tm work, (b) alteration, modification, or
additions or deletions to any Project Gutenberg-tm work, and (c) any
Defect you cause.
Section 2. Information about the Mission of Project Gutenberg-tm
Project Gutenberg-tm is synonymous with the free distribution of
electronic works in formats readable by the widest variety of
computers including obsolete, old, middle-aged and new computers. It
exists because of the efforts of hundreds of volunteers and donations
from people in all walks of life.
Volunteers and financial support to provide volunteers with the
assistance they need are critical to reaching Project Gutenberg-tm's
goals and ensuring that the Project Gutenberg-tm collection will
remain freely available for generations to come. In 2001, the Project
Gutenberg Literary Archive Foundation was created to provide a secure
and permanent future for Project Gutenberg-tm and future
generations. To learn more about the Project Gutenberg Literary
Archive Foundation and how your efforts and donations can help, see
Sections 3 and 4 and the Foundation information page at
www.gutenberg.org Section 3. Information about the Project Gutenberg
Literary Archive Foundation
The Project Gutenberg Literary Archive Foundation is a non profit
501(c)(3) educational corporation organized under the laws of the
state of Mississippi and granted tax exempt status by the Internal
Revenue Service. The Foundation's EIN or federal tax identification
number is 64-6221541. Contributions to the Project Gutenberg Literary
Archive Foundation are tax deductible to the full extent permitted by
U.S. federal laws and your state's laws.
The Foundation's principal office is in Fairbanks, Alaska, with the
mailing address: PO Box 750175, Fairbanks, AK 99775, but its
volunteers and employees are scattered throughout numerous
locations. Its business office is located at 809 North 1500 West, Salt
Lake City, UT 84116, (801) 596-1887. Email contact links and up to
date contact information can be found at the Foundation's web site and
official page at www.gutenberg.org/contact
For additional contact information:
Dr. Gregory B. Newby
Chief Executive and Director
gbnewby@pglaf.org
Section 4. Information about Donations to the Project Gutenberg
Literary Archive Foundation
Project Gutenberg-tm depends upon and cannot survive without wide
spread public support and donations to carry out its mission of
increasing the number of public domain and licensed works that can be
freely distributed in machine readable form accessible by the widest
array of equipment including outdated equipment. Many small donations
($1 to $5,000) are particularly important to maintaining tax exempt
status with the IRS.
The Foundation is committed to complying with the laws regulating
charities and charitable donations in all 50 states of the United
States. Compliance requirements are not uniform and it takes a
considerable effort, much paperwork and many fees to meet and keep up
with these requirements. We do not solicit donations in locations
where we have not received written confirmation of compliance. To SEND
DONATIONS or determine the status of compliance for any particular
state visit www.gutenberg.org/donate
While we cannot and do not solicit contributions from states where we
have not met the solicitation requirements, we know of no prohibition
against accepting unsolicited donations from donors in such states who
approach us with offers to donate.
International donations are gratefully accepted, but we cannot make
any statements concerning tax treatment of donations received from
outside the United States. U.S. laws alone swamp our small staff.
Please check the Project Gutenberg Web pages for current donation
methods and addresses. Donations are accepted in a number of other
ways including checks, online payments and credit card donations. To
donate, please visit: www.gutenberg.org/donate
Section 5. General Information About Project Gutenberg-tm electronic works.
Professor Michael S. Hart was the originator of the Project
Gutenberg-tm concept of a library of electronic works that could be
freely shared with anyone. For forty years, he produced and
distributed Project Gutenberg-tm eBooks with only a loose network of
volunteer support.
Project Gutenberg-tm eBooks are often created from several printed
editions, all of which are confirmed as not protected by copyright in
the U.S. unless a copyright notice is included. Thus, we do not
necessarily keep eBooks in compliance with any particular paper
edition.
Most people start at our Web site which has the main PG search
facility: www.gutenberg.org
This Web site includes information about Project Gutenberg-tm,
including how to make donations to the Project Gutenberg Literary
Archive Foundation, how to help produce our new eBooks, and how to
subscribe to our email newsletter to hear about new eBooks.